高二數學知識點:柱坐標系與球坐標系
2016-11-20 18:51:26
來源:逍遙右腦
柱坐標系的定義:
建立空間直角坐標系Oxyz,設P(x,y,z)是空間任意一點,它在Oxy平面上的射影為Q,Q點的極坐標為(ρ,θ),則P的位置可用有序數組(ρ,θ,z)表示,(ρ,θ,z)叫做點P的柱坐標。
(1)柱坐標轉化為直角坐標:

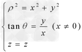
(2)直角坐標轉化為柱坐標:

球坐標系的定義:
建立空間直角坐標系Oxyz,設P(x,y,z)是空間任意一點,記|OP|=r,OP與Oz軸正向所夾的角為j,點P在Oxy平面上的射影為Q,Ox軸按逆時針方向旋轉到OQ時所轉過的最小正角為θ,則P的位置可用有序數組(r,j,θ)表示,(r,j,θ)叫做點P的球坐標。
將球坐標轉化為直角坐標:

(責任編輯:彭海芝)
分享“高二數學知識點:柱坐標系與球坐標系”到:
相關文章推薦