2013年上海公務員行測沖刺試題及答案(12)
來源:育路教育網發布時間:2012-12-05 [an error occurred while processing this directive]
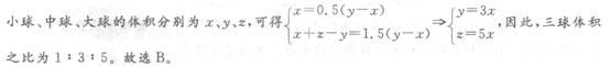
由題意可知,第一次溢出水的體積為小球的體積,第二次溢出水的體積為中球與小球的體積之差,第三次溢出水的體積為大球加小球的體積和與中球的體積之差。設

第58題 張、王二人步行的速度之比是7:5,他們分別由甲、乙兩地同時出發。如果他們相向而行,30分鐘后相遇;如果他們同向而行,那么張追上王需要多少小時?( )
A.6
B.5
C.4
D.3
【正確答案】D
解析:
設張追上王需要z小時。則相向而行時,兩人的距離÷兩人的速度和=30分鐘=0.5小時;同向而行時,兩人的距離÷兩人的速度差=x小時。則有方程
第59題 某大學參加軍訓隊列表演,組織一個方陣隊伍。如果每班60人,這個方陣至少要有5個班的同學參加;如果每班70人,這個方陣至少要有4個班的同學參加。那么組成這個方陣最外層的人數應為幾人?( )
A.16
B.64
C.68
D.60
【正確答案】D
解析:

第60題 已知a、b、c、d都是正整數,且a>b>c>d,a+6+c+d=2004,2a一26+2c一2d=2004,則a+d的最小值是( )。
A.1502
B.1005
C.1004
D.999
【正確答案】B
解析:
由兩個等式可以得出a+c=1503,6+d=501,a+d=a+c—(c—d),要使a+d最小,則必須c-d最大,當6=500,d=1,c=499時,可得出c—d最大,為498,此時a+d最小,為1005。故正確答案為B。
【責任編輯:育路編輯 糾錯】